機械密封應用中的平均流體膜壓力
機械密封應用中的平均流體膜壓力:


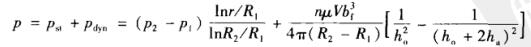
平均流體膜壓力:指的是密封端面間流體膜承載的平均壓力。即

對于平行面密封,根據納維埃-斯托克斯方程可以推導出平面間隙內層流壓差流動時內裝式機械密封的流體膜靜壓公式為
![]()
從公式中可以看出,對于不可壓縮的液體,流體靜壓沿密封面徑向按對數曲線規律分布;對于可壓縮氣體,流體靜壓沿密封面徑向按拋物線規律分布。
對于波形面密封,根據雷諾方程,利用窄密封近似和空化邊界條件,可以推導出具有n個波的波形面液體端面密封的流體膜壓:
![]()
![]()
M2N機械密封
本文源自http://www.zhijiahome.com/news/532.html,轉載請注明出處。
(責任編輯:機械密封http://www.zhijiahome.com)
上一篇:機械密封工程應用中彈簧比壓的選取 下一篇:機械密封應用中的膜壓系數(反壓系數)
- 上一篇:機械密封工程應用中彈簧比壓的選取
- 下一篇:機械密封應用中的膜壓系數(反壓系數)
機械密封熱門文章
機械密封文章推薦
最新資訊
- 2023-07-04· 機械密封的保養與維修方法
- 2023-06-30· 機械密封的保養與維修方法
- 2023-06-29· 機械密封的運行原理及其特點
- 2023-06-29· 機械密封的密封材料與密封性
- 2023-06-28· 機械密封的安裝及維護方法
- 2023-06-26· 機械密封的密封原理及其應用
聯系我們
浙江生產基地:浙江嘉善環城東路硅谷開發區(赤盾科技園)
嘉興銷售及技術支持中心:嘉興市環北西路經濟開發區
國內24小時銷售人員電話:15990310020
國內24小時技術支持:13917573091
電子郵件:1050760236@qq.com
jxchishidun@163.com
即時聊天工具:QQ: 1050760236
微信:15990310020
網址:www.zhijiahome.com



